Artículo original

Actividad antioxidante, hemolítica y toxicidad de alimentos ultraprocesados consumidos frecuentemente por niños en México

Heydy Dayanara González-Pérez1 , María M. Romero-Chávez1 , Edgar Iván Jiménez-Ruiz1 ,
María Marcela Robles-Machuca1 , María T. Sumaya-Martínez1

Publicado: 20/08/2025

Resumen

Introducción: México es el segundo país consumidor de alimentos ultraprocesados (AU) en América Latina, dichos alimentos contienen aditivos, colorantes y conservadores que pueden repercutir en carcinogenicidad, citotoxicidad e inducción de estrés oxidativo. Objetivo. El objetivo de este estudio fue evaluar la actividad antioxidante, actividad hemolítica y toxicidad de AU de consumo frecuente en niños de 5 a 11 años en México. Materiales y métodos. La capacidad antioxidante de 13 AU de consumo frecuente por niños en etapa escolar en México fue determinada por diversos métodos: ORAC, ABTS•+, DPPH•, FRAP y actividad quelante. Además, se determinó la actividad hemolítica en un modelo in vitro con eritrocitos humanos y la toxicidad in vivo en Drosophila melanogaster. Resultados: Los AU presentaron actividad antioxidante, destacando alimentos como CK (cereal de arroz inflado), CC (chorizo de cerdo), TF (botana de maíz enchilado) y dos dulces enchilados (LM y SS). Esta actividad es atribuida a los aditivos, colorantes y antioxidantes sintéticos presentes en ellos. La mayor toxicidad in vitro e in vivo se observó en LM, CC y TF, causaron una mayor hemolisis y reducción de la sobrevivencia de Drosophila melanogaster, afectando la proporción sexual y retrasando el desarrollo de dichos organismos. Conclusiones: Algunos de los AU analizados mostraron toxicidad in vitro e in vivo. Ante el aumento del consumo de AU en México y siendo la población infantil quien ingiere los AU analizados, se requiere diseñar políticas públicas que faciliten el acceso a alimentos saludables a los niños en etapa escolar. Arch Latinoam Nutr 2025; 75(3): 152-162.

Palabras clave: Actividad antioxidante, toxicidad, alimentos ultraprocesado.


Original article

Antioxidant, hemolytic activity and toxicity of ultraprocessed foods frequently consumed by children in Mexico

Abstract

Introduction: Mexico is the second largest consumer of ultra-processed foods (UPFs) in Latin America. These products contain additives, colorants, and preservatives that may contribute to carcinogenicity, cytotoxicity, and the induction of oxidative stress. Objetive. This study aimed to evaluate the antioxidant activity, hemolytic activity, and toxicity of ultra-processed foods (UPFs) commonly consumed by children aged 5 to 11 years in Mexico. Materials and methods. The antioxidant capacity of 13 UPFs commonly consumed by schoolchildren in Mexico was evaluated using different assays, including ORAC, ABTS•+, DPPH•, FRAP, and metal chelating activity. Hemolytic activity was assessed using an in vitro model with human erythrocytes, while in vivo toxicity was evaluated in Drosophila melanogaster. Results. The UPFs exhibited antioxidant activity, particularly in products such as puffed rice cereal (CK), pork chorizo (CC), a spicy corn snack (TF), and two spicy candies (LM and SS). This activity was mainly attributed to the presence of additives, colorants, and synthetic antioxidants. The highest in vitro and in vivo toxicity was observed in LM, CC and TF, causing greater hemolysis and reduced survival of Drosophila melanogaster, as well as alterations in sex ratio and delayed organismal development. Conclusions. Some of the UPFs analyzed in this study exhibited both in vitro and in vivo toxicity. Considering the increasing consumption of UPFs in Mexico, and the fact that school-aged children represent the primary consumers of these products, there is a pressing need for public policies that promote the accessibility of healthier food options for this population. Arch Latinoam Nutr 2025; 75(3): 152-162.

Keywords: Antioxidant activity, toxicity, ultraprocessed foods.


https://doi.org/10.37527/2025.75.3.001

  1. Maestría en Ciencias en Biotecnología, Unidad de Tecnología de Alimentos, Área Ciencias Biológico Agropecuarias y Pesqueras, Secretaría de Investigación y Posgrado, Universidad Autónoma de Nayarit; Ciudad de la Cultura S/N, C.P. 63000 Tepic, Nayarit, México.
  2. Autor para la correspondencia: María Teresa Sumaya Martinez, e-mail: [email protected]

Introducción

Los alimentos ultraprocesados (AU) pueden contener una alta cantidad de grasas saturadas, potenciadoresdesabor, colorantes, conservadores, sal y azúcares simples, además, son bajos en fibra alimentaria, proteínas, micronutrientes y otros compuestos bioactivos. Estos representan una problemática para la salud humana por su bajo valor nutricional, alto contenido calórico y de aditivos, lo cual puede ocasionar repercusiones sociales, culturales, económicas y ambientales, en especial cuando representan una proporción sustancial y cada vez mayor del suministro de alimentos en los individuos (1,2).

El consumo de AU en México ha aumentado progresivamente, del año 2007 al 2017 la venta de AU aumentó en un 29.2 %, aproximadamente el 30% de la ingesta diaria de energía de los mexicanos provino de estos alimentos. Para el año 2012, entre el 34 y 35% de niñas, niños y adolescentes tenía sobrepeso (3). Por otro lado, ciertas características organolépticas incorporadas a este tipo de alimentos pueden distorsionar los mecanismos de conexión entre el aparato digestivo y el cerebro, responsables de enviar la señal de saciedad y controlar el apetito, lo que lleva a un consumo excesivo (4).

La ingesta de este tipo de alimentos provoca el aumento de la formación de radicales libres, lo cual genera un desbalance entre la velocidad de formación y la neutralización por parte del sistema antioxidante endógeno del organismo, dando lugar a lo que se conoce como estrés oxidativo (EO). Si la ingesta de antioxidantes en la dieta (exógenos) está restringida por el alto consumo de AU, se puede promover aún más el EO, lo que puede producir severos daños a nivel celular (5). El EO es responsable de la degeneración celular, debido a las reacciones químicas de los radicales libres con proteínas, lípidos y DNA (ácido desoxirribonucleico), produciendo en milisegundos un daño irreversible que puede generar cambios en el tejido y eventualmente muerte celular (6,7).

En los AU, los antioxidantes sintéticos como BHA (hidroxianisol butilado), BHT (hidroxitolueno butilado) y el BHQT (butilhidroquinona terciaria) son utilizados para retardar la rancidez oxidativa de grasas y aceites, sin embargo, su consumo excesivo podría producir carcinogenicidad, citotoxicidad, inducción de estrés oxidativo y efectos de alteración endocrina (8-10).

Los límites máximos de cada antioxidante sintético agregado en los AU de acuerdo con la ingesta diaria aceptable (IDA) establecida en el Codex Alimentarius es de: BHA (40-400 mg/kg o 1000 mg/L), BHT (24-400 mg/kg o 1000 mg/L) y BHQT (100-200 mg/kg). Casi el 30% del total de los alimentos que derivan de la canasta básica mexicana no mencionan el tipo de antioxidante utilizado y más del 81% no mencionan la concentración (11).

Los conservadores como benzoato de sodio y sorbato de potasio son frecuentemente utilizados en los AU y cuando son consumidos en altas cantidades (560 mg/ kg y 25 mg/kg, respectivamente) pueden producir alergenicidad, citotoxicidad y genotoxicidad (12,13). La toxicidad de diversos colorantes sintéticos usados en alimentos ya ha sido reportada, sin embargo, mientras algunos colorantes como el rojo No. 2 y No. 40 se han prohibido en Austria, Japón, Noruega y Suecia; el rojo No. 40 aún se encuentra en escrutinio en Estados Unidos. El alto consumo de colorantes azoicos en los caramelos (tales como tartrazina, rojo allura AC, negro brillante BN y marrón HT) pueden afectar el desarrollo neurológico, aumentar el estrés oxidativo, ser carcinógenos y afectar el comportamiento de niños presentando hiperactividad, inquietud y trastornos del sueño. Se ha reportado que diversos colorantes sintéticos, principalmente de la gama de rojos, pueden presentar también actividad antioxidante (14).

México ocupa el 2º lugar en países de mayor consumo de AU en América Latina (15), sin embargo, en el etiquetado de los alimentos no se señala la concentración exacta de colorantes, aditivos, saborizantes y conservadores sintéticos que contiene dicho alimento. El alto consumo de AU puede contribuir a la ingesta descontrolada de aditivos como conservadores, aromatizantes, colorantes, saborizantes, edulcorantes y antioxidantes sintéticos; pudiendo ser esto un riesgo en la salud pública, principalmente en la población infantil, ya que además de tener menor peso, también están en una etapa de crecimiento y desarrollo y se pueden alterar algunas funciones fisiológicas. Cabe mencionar que no existe información relacionada sobre las características antioxidantes, hemolíticas o tóxicas de los AU que frecuentemente consumen los niños escolares. Por lo anterior, el objetivo de este trabajo fue evaluar la actividad antioxidante, actividad hemolítica y toxicidad de AU de consumo frecuente en niños de 5 a 11 años en México. Esto puede proporcionar información que pueda ser de utilidad para determinar el efecto del consumo de éstos en la salud de la población pediátrica en edad escolar.

Materiales y métodos

Este trabajo de investigación se realizó entre septiembre del 2023 y noviembre del 2024, en las instalaciones de la Unidad de Tecnología de los Alimentos de la Universidad Autónoma de Nayarit, México. Fue un estudio experimental completamente aleatorio, todas las determinaciones fueron realizadas por triplicado.

Selección de alimentos ultraprocesados

Para la selección de los AU se utilizó la base de datos de productos alimenticios Open Food Facts, en este sitio se puede obtener información de los ingredientes, aditivos, propiedades nutricionales y etiquetado de productos alimenticios de diversos países. Se seleccionaron 13 AU sólidos con la clasificación NOVA 4, agrupados en “alimentos no recomendados para consumo cotidiano” (carnes procesadas, botanas, dulces, postres, cereales dulces y bebidas no lácteas endulzadas) y de consumo frecuente en escolares de cinco a once años de acuerdo a la Encuesta Nacional de Salud y Nutrición en México 2018-2019 (16).

Extracción de la muestra analítica

El proceso inició con la trituración de cada AU en un procesador de alimentos, enseguida, se pesaron 5 g y se colocaron en 20 mL del medio de extracción (etanol 70%, agua 29,5% y ácido acético 0,5%, pH=4). La mezcla se agitó vigorosamente en vórtex durante 1 min, luego se colocó en baño ultrasónico por 8 min y finalmente se le aplico 1 min de agitación vigorosa, este proceso se realizó dos veces. Después, las muestras se centrifugaron por 15 min a 4000 rpm y temperatura ambiente (24°C), el sobrenadante se recuperó por filtración (17). Las extracciones se llevaron a cabo por triplicado.

Métodos para determinación de la capacidad antioxidante

La actividad antioxidante de los triplicados de los extractos de AU se determinó con base en diferentes métodos: la capacidad de atrapamiento de los radicales libres 1,1-difenil-2-picrilhidrazilo (DPPH•) y ácido 2,2-acino-bis(3- etilbenzotiazolinona-6-sulfónico) (ABTS•+), la actividad quelante, el ensayo ORAC que mide la capacidad de atrapamiento de radicales peróxilo (un radical que es especialmente dañino en sistemas biológicos y alimentarios) y la capacidad antioxidante reductora del ion férrico, además, se determinó la concentración de compuestos fenólicos totales (18, 19). Todas las determinaciones se realizaron por triplicado.

Preparación de la suspensión de eritrocitos humanos

La sangre se obtuvo por punción venosa de voluntarios sanos (25-35 años), no fumadores y quienes dieron su consentimiento informado por escrito para ser incluidos en el estudio. Las muestras se recogieron en tubos que contenían heparina de litio como anticoagulante (BD Vacutainer®), posteriormente se centrifugaron a 3500 rpm durante cuatro minutos a 4ºC. A continuación, se retiró cuidadosamente el plasma y la capa leucocitaria. Para el ensayo de hemólisis in vitro, los eritrocitos se lavaron tres veces con solución de Alsever (0,116 M de dextrosa, 0,071 M de NaCl, 0,027 M de citrato de sodio y 2 mM de ácido cítrico) a pH 6,4. El botón de eritrocitos se mezcló con solución de Alsever para obtener una suspensión de dichas células al 1 % (v/v) de hematocrito (20).

Ensayo de hemólisis in vitro

El ensayo de hemólisis consistió en mezclar 100 μL de la suspensión de eritrocitos humanos con 500 μL de solución Alsever que contenía la muestra necesaria para alcanzar las concentraciones mencionadas con anterioridad. Una solución de eritrocitos incubada con Tritón X-100 (40 mM) fue utilizada para determinar el 100% de liberación de hemoglobina. Cinco controles con medio de solución de Alsever se usaron para determinar la hemólisis espontánea de los eritrocitos y compararla con la actividad hemolítica causada por los extractos en estudio. Las muestras se incubaron durante 1 h a 37 ºC en agitación de 500 rpm, después fueron centrifugadas a 3000 rpm durante cuatro minutos. Finalmente, se tomaron alícuotas de 100 μL del sobrenadante y se registró la absorbancia (A) a 410 nm. El porcentaje de hemólisis se calculó utilizando la ecuación 1. La determinación se realizó por triplicado por cada extracto de alimento:

Ecuación 1

donde A410s es la absorbancia para la muestra, A410CN absorbancia del control negativo (medio de extracción) y A410CP del control positivo (Tritón X-100) (21).

Para los AU que presentaron la mayor actividad antioxidante (o que son de mayor consumo entre los escolares como son los dulces LM y SS) se realizaron determinaciones a cinco concentraciones (4,2, 8,3, 12,5, 16,7, 20,8 mg/ mL), para conocer el efecto de la concentración del extracto de AU con respecto a la actividad hemolítica. Estas concentraciones se determinaron tomando en cuenta la máxima concentración de etanol que resulta tóxica para los eritrocitos, a partir de ahí se dividió en 5 y se transformó en mg/mL.

Toxicidad in vivo en Drosophila melanogaster

Con base en los resultados de la actividad hemolítica, se seleccionaron las concentraciones para determinar la toxicidad en D. melanogaster. Los extractos de SS, LM y CC se evaluaron a concentraciones de 0-25 mg/mL, mientras que para TF y CK se utilizaron valores de 0 a 10 mg/ mL. Como control se usó agua destilada y se realizó una prueba de toxicidad in vivo para cada muestra cruzando hembras vírgenes y machos del tipo silvestre (Wild type). El medio de cultivo estándar se preparó con azúcar, agar, harina de maíz, levadura, ácido propiónico y Nipagin (metil-p-hidroxibenzoato) (22). Después de 48 h, las moscas se transfirieron a frascos de cultivo que contenían medio estándar para recolectar los huevos durante 8 h, posteriormente se retiraron los adultos. Cuando las larvas tenían 72 ± 4 h de edad (tercer estadio larvario), se extrajeron con sacarosa al 20% y se lavaron con agua destilada. Luego, entre 40- 60 larvas se transfirieron a tubos de vidrio con 1 g de Drosophila Instant Medium (Carolina Biological Supply Co., Burlington, NC, EE. UU.) y 4,5 mL de las soluciones de cada AU (23). Todas las determinaciones se realizaron por triplicado.

Consideraciones éticas

El estudio fue revisado y aprobado por la Comisión Estatal de Bioética del Estado de Nayarit, México (número de Aprobación: CEBN/38/2024).

Análisis estadístico

Los resultados se expresaron como la media ± desviación estándar (DE). Los datos se evaluaron mediante ANOVA de una vía con un α=0,05, utilizando el software estadístico Rstudio (Versión 4.1.4). Además, se aplicó la prueba HSD de Tukey (Honestly-significant-difference) para determinar cuáles pares de medias de grupo son significativamente diferentes, con un valor de p inferior a 0,05 se consideró estadísticamente significativo. Para el “% de eclosión” y el “índice sexual” no se realizaron ANOVA.

Resultados

En la Tabla 1 se presenta una descripción de los 13 AU seleccionados y se enlistan los principales aditivos (colorantes, saborizantes, sales, conservadores) contenidos en su etiqueta; no se especifica en que concentración están presentes en los AU.

Tabla 1. AU seleccionados de consumo frecuente por niños en México
Tabla 1. AU seleccionados de consumo frecuente por niños en México
* Información obtenida de las etiquetas y de la base de datos Open Food Facts. En este sitio se puede consultar la tabla nutrimental del AU: https://mx.openfoodfacts.org/.

Actividad antioxidante

Los resultados obtenidos de las propiedades antioxidantes de los AU se muestran en la Tabla 2, las cuales pueden atribuirse a los aditivos contenidos en ellos. Los extractos de AU que presentaron una actividad importante en DPPH•, FRAP, ABTS•+ y ORAC fueron CK y CC, además, mostraron las mayores concentraciones de compuestos fenólicos totales. El TF es una de las botanas extruidas enchiladas frecuentemente consumidas por los escolares, la cual presentó un importante atrapamiento de radicales ABTS y actividad ORAC. Los dulces con la mayor actividad ORAC fueron LM y SS. Las propiedades antioxidantes que presentaron los AU pueden atribuirse a los aditivos (potenciadores de sabor, colorantes, conservadores, etc.) presentes en ellos, por lo tanto, esto podría indicar que están presentes en una alta concentración

Tabla 2. Actividad antioxidante promedio de los extractos hidroalcohólicos de los AU seleccionados
Tabla 2. Actividad antioxidante promedio de los extractos hidroalcohólicos de los AU seleccionados
Las letras hacen referencia a las comparaciones por pares entre grupos con una diferencia significativa según la prueba HSD de Tukey (p<0,05); NP: no presentó actividad. CFT: compuestos fenólicos totales, ET: equivalente Trolox, EAA: equivalente Acido Ascórbico, EDTA: ácido etilendiaminotetraacético, AG: ácido gálico.

Actividad hemolítica in vitro

Los 5 AU (CC, CK, TF, LM y SS) que presentaron una actividad importe de atrapamiento de radicales libres DPPH•, ABTS•+ y peróxilo fueron seleccionados para analizar su actividad hemolítica y su toxicidad en D. melanogaster. El efecto de la concentración de los AU sobre la actividad hemolítica se presenta en la Tabla 3, donde se observa que el porcentaje de hemólisis es dependiente de la concentración en todos los extractos evaluados (Figura 1). El extracto de LM presentó la mayor actividad hemolítica con una toxicidad de 88,6% de hemólisis a la mínima concentración evaluada, además, provocó el 100% de hemolisis en el resto de concentraciones utilizadas, mostrando un efecto similar al observado en el Tritón X-100. Este extracto junto con el CC alcanzó el mayor % de hemólisis en 8,3 mg/mL, mientras que CK y TF alcanzaron el mayor % de hemolisis a una concentración de 12,5 mg/mL. Los SS no presentaron toxicidad a 4,2 mg/mL y alcanzaron el % de hemólisis de 71,8 a una concentración de 20,8 mg/mL

Tabla 3. Actividad hemolítica de extractos hidroalcohólicos de AU a diferentes concentraciones.
Tabla 3. Actividad hemolítica de extractos hidroalcohólicos de AU a diferentes concentraciones.
Las letras (a-d) hacen referencia a las comparaciones por pares entre grupos con una diferencia significativa según la prueba HSD de Tukey (p<0,05)
Figura 1. Relación entre la concentración de AU y el porcentaje de hemólisis.
Figura 1. Relación entre la concentración de AU y el porcentaje de hemólisis.

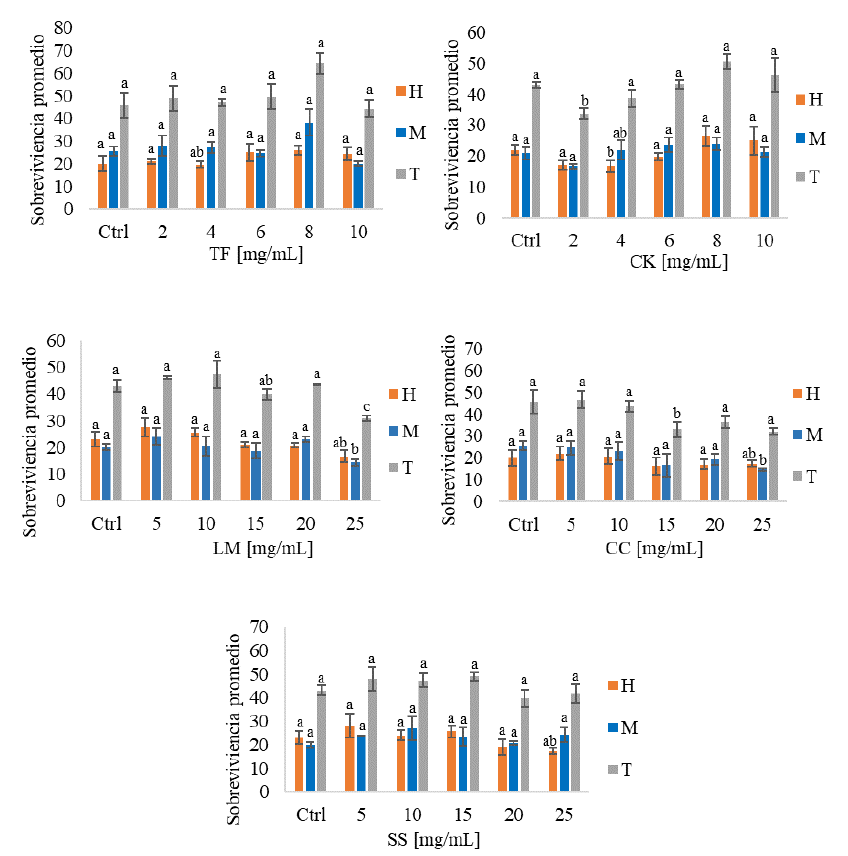
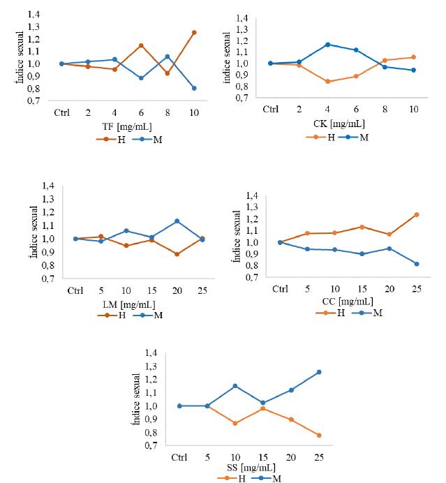
Toxicidad in vivo en Drosophila melanogaster

Para verificar los efectos tóxicos de los AU (CC, CK, TF, LM y SS) sobre un modelo in vivo de D. melanogaster se utilizaron como biomarcadores el porcentaje de eclosión (Figura 2), la sobrevivencia promedio (Figura 3) y el índice de proporción sexual (Figura 4). La respuesta de las larvas de D. melanogaster a los AU se reflejó en el número de moscas adultas eclosionadas, donde el CC presentó el mayor efecto, ya que desde la concentración de 5 mg/mL se aprecian porcentajes de eclosión menores al 60%. Un comportamiento similar se observó en TF y las concentraciones de mayor efecto fueron 2, 6 y 10 mg/ mL (Figura 2).

Figura 2. Porcentaje de eclosión de D. melanogaster tratadas con extractos hidroalcohólicos AU a diferentes concentraciones.
Figura 2. Porcentaje de eclosión de D. melanogaster tratadas con extractos hidroalcohólicos AU a diferentes concentraciones.
Figura 3. Sobrevivencia promedio de D. melanogaster tratadas con extractos hidroalcohólicos de AU a diferentes concentraciones. Las letras hacen referencia a las comparaciones por pares entre grupos con una diferencia significativa según la prueba HSD de Tukey (p<0,05). H: hembras, M: machos, T: Totales
Figura 3. Sobrevivencia promedio de D. melanogaster tratadas con extractos hidroalcohólicos de AU a diferentes concentraciones. Las letras hacen referencia a las comparaciones por pares entre grupos con una diferencia significativa según la prueba HSD de Tukey (p<0,05). H: hembras, M: machos, T: Totales
Figura 4. Índice sexual de D. melanogaster tratadas con AU a diferentes concentraciones. H: hembras, M: machos
Figura 4. Índice sexual de D. melanogaster tratadas con AU a diferentes concentraciones. H: hembras, M: machos

Por otro lado, la sobrevivencia disminuyó a medida que aumentó la concentración en el extracto de CC y LM. En CK, el mayor efecto se observó en 2 y 4 mg/mL, mientras que para TF y SS no se observó un efecto significativo (p<0,05) sobre la sobrevivencia promedio en las diferentes concentraciones (Figura 3). En adición, la proporción sexual fue utilizada para determinar si los extractos afectan a machos y hembras de manera diferente, donde TF y CC mostraron una mayor toxicidad para los machos, mientras que, en SS, LM y CK disminuyó la sobrevivencia de hembras (Figura 4).

Discusión

No se encontraron trabajos similares en las bases de datos consultadas con los que se pudiese comparar los resultados obtenidos. Respecto a la actividad antioxidante de los AU, es importante comentar que cada método sigue un mecanismo de reacción diferente y en conjunto pueden describir la forma en que la capacidad de atrapamiento de radicales se presenta en el AU (24). La capacidad de neutralizar radicales en los AU es atribuida a la suma de la actividad antioxidante de cada uno de sus ingredientes, aditivos y conservadores. Si bien, en el empaque de dichos AU no se especifica la concentración de antioxidantes sintéticos añadido, éstos deberían seguir la normativa existente. En el caso del cereal CK, se sabe que contiene tocoferoles, colorantes rojos y cocoa, que presentan actividad antioxidante, además de compuestos de naturaleza fenólica. Por su parte, el CC se compone de aditivitos como eritorbato de sodio, benzoato de sodio y sorbato de potasio, además de una mezcla de condimentos derivados de soya y chile molido seco. Ni los dulces LM o SS, ni el TF mencionan que tipo de conservadores contienen que permiten que presenten una capacidad importante de neutralizar el radical peróxilo.

La actividad hemolítica proporciona información sobre la capacidad de una sustancia o mezcla para causar daño al eritrocito. La toxicidad sobre los eritrocitos humanos y Drosophila melanogaster puede ser atribuida a la mezcla de ingredientes y aditivos utilizados en la preparación de los AU. El extracto con mayor actividad hemolítica fue un dulce enchilado para niños con dióxido de silicio como aditivo, el cual tiene un nivel de toxicidad alta (26). Además, se ha reportado la citotoxicidad de ciertos extractos de chiles como habanero, serrano, jalapeño, ancho, guajillo y pimiento en células Vero (27). Por otro lado, estudios sugieren que ciertos conservantes, incluido el benzoato de sodio, podrían estar relacionados con alergias, urticaria, trastornos del comportamiento como el trastorno por déficit de atención e hiperactividad (TDAH) y podrían ser tóxicos y genotóxicos si se ingieren en exceso (28), dicho compuesto está presente en los SS y el CC. Cabe mencionar que se esperaría que la importante actividad antioxidante que presentaron estos 5 AU protegería al hematocrito de la hemólisis, pero no fue así, al contrario: presentaron actividad hemolítica.

Adicionalmente, la presencia de ciertos colorantes en los AU ha suscitado preocupaciones debido a la toxicidad encontrada. El rojo 3 demostró ser cancerígeno en animales, de igual manera se encontró que el rojo 40, amarillo 5 y amarillo 6 están contaminados con bencidina u otros carcinógenos. El azul 1, rojo 40, amarillo 5 y amarillo 6 pueden causar reacciones de hipersensibilidad. En adición, el rojo cítrico 2, rojo 40, amarillo 5 y amarillo 6, son descompuestos por bacterias gastrointestinales y generan productos que al ser absorbidos pueden causar efectos negativos para la salud (29). Los efectos sobre la proporción sexual en Drosophila melanogaster se han relacionado con la regulación hormonal de los organismos tratados, lo cual se ha reportado en algunos disruptores endocrinos, compuestos cancerígenos que causan efectos diferentes en hembras y machos de mamíferos (30).

Si bien ya existen reportes que han establecido una asociación positiva entre el riesgo del sobrepeso en niños y el aumento del riesgo de neoplasias pediátricas con el consumo de AU (31, 32, 33), los resultados obtenidos en este trabajo abren toda un área nueva de investigación sobre la toxicidad del consumo frecuente de dulces, botanas, cereales de desayuno y embutidos sobre la salud de los escolares en México.

Conclusiones

Algunos de los AU analizados en este trabajo mostraron toxicidad in vitro e in vivo. La presencia de aditivos, colorantes, picante y conservadores como el benzoato de sodio producen un mayor porcentaje de hemólisis y disminuyen la sobrevivencia en Drosophila melanogaster. Además, presentaron efectos sobre la proporción sexual y un retraso en el desarrollo que se reflejó en el porcentaje de eclosión de los organismos.

Estos resultados son importantes ante el aumento del consumo de AU en México y siendo la población infantil en edad escolar quien ingiere los productos analizados en este trabajo. Ante este problema de salud pública, se requiere diseñar políticas públicas que faciliten la producción, promoción y acceso a alimentos saludables a los niños en etapa escolar.

Agradecimientos

A la Secretaría de Ciencia, Humanidades, Tecnología e Innovación (SECIHTI) por la beca de posgrado de la estudiante de la Maestría en Ciencias en Biotecnología de la UAN de la Lic en N. H. Heydy Dayanara González Pérez.

Conflictos de intereses

Los autores expresan que no existen conflictos de interés al redactar el manuscrito.

REFERENCIAS

  1. Mashki SF, de Oliveira MH, Pereira DBDS, Gregolin GC, Conde WL. Association between ultraprocessed food consumption and obesity in US adults: an analysis of NHANES 2009-2018. Arch Latinoam Nutr 2023; 73(2): 113-121. https://doi.org/10.37527/2023.73.2.003
  2. Rojas Martínez A. Expansión de la oferta de alimentos ultraprocesados y transformación del patrón alimentario: influencia en la vulnerabilidad por COVID-19 en México. Cofactor. 2022; 11(22): 9-48. https://biblat.unam.mx/hevila/COFACTOR/2022/vol11/no22/1.pdf
  3. Marrón-Ponce JA, Sánchez-Pimienta TG, Louzada MLDC, Batis C. Energy contribution of NOVA food groups and sociodemographic determinants of ultra-processed food consumption in the Mexican population. Public Health Nutr. 2018;21(1):87-93. https://doi.org/10.1017/s1368980017002129
  4. Gearhardt AN, Schulte EM. Is food addictive? A review of the science. Annual Review of Nutr. 2021;41(1), 387-410. https://doi.org/10.1146/annurev-nutr-110420-111710
  5. Kotha RR, Tareq FS, Yildiz E, Luthria DL. Oxidative stress and antioxidants-A critical review on in vitro antioxidant assays. Antioxidants. 2022;11(12):2388. https://doi.org/10.3390/antiox11122388
  6. Chaudhary P, Janmeda P, Docea AO, et al. Oxidative stress, free radicals and antioxidants: Potential crosstalk in the pathophysiology of human diseases. Front. Chem. 2023;11: 1158198. https://doi.org/10.3389/fchem.2023.1158198
  7. Houldsworth A. Role of oxidative stress in neurodegenerative disorders: a review of reactive oxygen species and prevention by antioxidants. Brain Comm. 2024; 6(1). https://doi.org/10.1093/braincomms/fcad356
  8. Llancari A, Matos A. Valoración de los nutrientes y antioxidantes en la salud humana e industria alimentaria. En: I Congreso Nacional de Investigación; 2011 Nov 2-4; Lima, Perú. Lima:Universidad Peruana Unión.
  9. Xu X, Liu A, Hu S, et al. Synthetic phenolic antioxidants: Metabolism, hazards and mechanism of action. Food Chem. 2021; 353. https://doi.org/10.1016/j.foodchem.2021.129488
  10. Zhang XJ, Diao MN, Zhang YF. A review of the occurrence, metabolites and health risks of butylated hydroxyanisole (BHA). J. Sci. Food Agric. 2023; 103(13). https://doi.org/10.1002/jsfa.12676
  11. Carbajal-Sánchez JA, Ramírez-Durán N, Gamboa- Angulo M, Moreno-Pérez PA. Estado de la información del consumo en México de antioxidantes sintéticos en alimentos ultraprocesados, basados en los alimentos de la canasta básica. Estud Soc Rev Aliment Contemp Desarro Reg. 2021;31(58): e211143. https://doi.org/10.24836/es.v31i58.1143
  12. Shahmohammadi M, Javadi M, Nassiri-Asl M. An overview on the effects of sodium benzoate as a preservative in food products. Biotech Health Sci. 2016;3(3): e35084. https://doi.org/10.17795/BHS-35084
  13. Dehghan P, Mohammadi A, Mohammadzadeh-Aghdash H, Ezzati Nazhad Dolatabadi J. Pharmacokinetic and toxicological aspects of potassium sorbate food additive and its constituents. Trends Food Sci Technol. 2018;80:123-130. https://doi.org/10.1016/j.tifs.2018.07.012
  14. Amchova P, Siska F, Ruda-Kucerova J. Food safety and health concerns of synthetic food colors: an update. Toxics. 2024 12(7), 466. https://doi.org/10.3390/toxics12070466
  15. Organización Panamericana de la Salud. Alimentos y bebidas ultraprocesados en América Latina: ventas, fuentes, perfiles de nutrientes e implicaciones. 2019. Editorial OPS, Washington, D.C. https://doi.org/10.37774/9789275320327
  16. Shamah-Levy T, Vielma-Orozco E, Heredia-Hernández O, et al. Encuesta Nacional de Salud y Nutrición 2018- 19: Resultados Nacionales. Cuernavaca, México: Instituto Nacional de Salud Pública; 2020. 1ª ed. https://ensanut.insp.mx/encuestas/ensanut2018/doctos/informes/ensanut_2018_informe_final.pdf
  17. Takebayashi J, Oki T, Chen J, Sato M, Matsumoto T, Taku K, Ishimi Y. Estimated average daily intake of antioxidants from typical vegetables consumed in Japan: a preliminary study. Biosci Biotechnol Biochem. 2010;74(10):2137-2140. https://doi.org/10.1271/bbb.100430
  18. Macías-Hernández CE, Romero-Chávez MM, Mojica- Sánchez JP, et al. A. Synthesis and characterization of new monothiooxalamides containing pyridine nuclei with promising antiproliferative and antioxidant activity. J. Mol. Struct. 2022;1265:133360.. https://doi.org/10.1016/j.molstruc.2022.133360
  19. Singleton VL, Orthofer R, Lamuela-Raventós RM. Analysis of total phenols and other oxidation substrates and antioxidants by means of Folin-Ciocalteu reagent. Methods Enzymol. 1999; 299:152-178. https://doi.org/10.1016/S0076-6879(99)99017-1
  20. Manna C, Galletti P, Cucciolla V, Montedoro G, Zappia V. Olive oil hydroxytyrosol protects human erythrocytes against oxidative damages. J Nutr Biochem. 1999;10(3):159-165. doi:10.1016/s0955-2863(98)00085-0.
  21. López-Nahuatt G, Sumaya-Martínez MT, Jiménez-Ruiz EI, et al. Hemolytic, antimicrobial and antioxidant activity of aqueous extracts of calyx from roselle. Rev Bio Ciencias. 2020;7:e995. doi:10.15741/revbio.07.e995.
  22. Romero-Chávez MM, Macías-Hernández CE, Ramos-Organillo A, et al. Synthesis and toxicity of monothiooxalamides against human red blood cells, brine shrimp (Artemia salina), and fruit fly (Drosophila melanogaster). Heliyon. 2024;10(16):e36182. doi.org/10.1016/j.heliyon.2024.e36182.
  23. Jenkins JB, Tompkins L. Effects of amiloride on taste responses of Drosophila melanogaster adults and larvae. J Insect Physiol. 1990;36(9):613-618. doi:10.1016/0022-1910(90)90064-m.
  24. Munteanu IG, Apetrei C. Analytical methods used in determining antioxidant activity: A review. IJMS. 2021; 22(7):3380. https://doi.org/10.3390/ijms22073380
  25. Markowicz-Piasecka M, Mikiciuk-Olasik E, Sikora J. Stability of erythrocyte membrane and overall hemostasis potential – A biocompatibility study of mebrofenin and other iminodiacetic acid derivatives. Pharmacol Rep. 2015;67(6):1230-1239. doi:10.1016/j.pharep.2015.05.021.
  26. Moreno-Altamirano L, Hernández-Valencia S, García-García JJ, Robles-Rivera K, Robles-Vizcaya OI, Flores-Ocampo AE. Food additives in ultra-processed products and some health effects. Revista médica del Hospital General de México, 2024;87(4), 184-193. https://doi.org/10.24875/hgmx.23000078
  27. Ordaz-Trinidad N, Dorantes-Álvarez L, Salas-Benito J, Barrón-Romero BL, Salas-Benito M, Nova-Ocampo MD. Citotoxicidad y actividad antiviral de extractos de chiles (Capsicum spp). Polibotánica. 2018; 46:273–285. doi:10.18387/polibotanica.46.18.
  28. Yadav A, Kumar A, Das M, Tripathi A. Sodium benzoate, a food preservative, affects the functional and activation status of splenocytes at non-cytotoxic dose. Food Chem Toxicol. 2016;88:40-47. doi:10.1016/j.fct.2015.12.016.
  29. Gautam N. Food colorants and their toxicology: An overview. Sunsari Technol Coll J. 2015;2(1):69-75. doi:10.3126/stcj. v2i1.14803.
  30. Cederroth CR, Auger J, Zimmermann C, Eustache F, Nef S. Soy, phyto-oestrogens and male reproductive function: a review. Int J Androl. 2010;33(2):304-316. https://doi.org/10.1111/j.1365-2605.2009.01011.x
  31. Diethelm K, Günther A, Schulze M, Standl M, Heinrich J, Buyken A. Prospective relevance of dietary patterns at the beginning and during the course of primary school to the development of body composition. British J Nutr. 2014; 111(8), 1488-1498. https://doi.org/10.1017/S0007114513004017
  32. Vallianou NG, Kounatidis D, Tzivaki I, et al. Ultra- processed foods and childhood obesity: Current evidence and perspectives. Curr. Nutr. Rep., 2025;14(1), 5. https://doi.org/10.1007/s13668-024-00596-y
  33. Cárdenas-Cardon MS, Zapata-Tarrés M. Aumenta la esperanza de curación del cáncer pediátrico. Boletín. 2021. UNAM-DGCS-116. https://www.dgcs.unam.mx/boletin/bdboletin/2021_116.html

Recibido: 24/05/2025
Aceptado: 07/08/2025